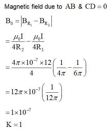
A loop ABCDA, carrying current I = 12 A, is placed in a plane, consists of two semi-circular segments of radius ${R_1} = 6\pi \;{\rm{m}}$ and ${{\rm{R}}_2} = 4\pi \;{\rm{m}}$. The magnitude of the resultant magnetic field at center O is ${\rm{k}} \times {10^{ - 7}}\;{\rm{T}}$. The value of k is ______ (Given ${\mu _0} = 4\pi \times {10^{ - 7}}{\rm{Tm}}{{\rm{A}}^{ - 1}}$)
Hello 👋 Welcome to Competishun – India’s most trusted platform for JEE & NEET preparation. Need help with JEE / NEET courses, fees, batches, test series or free study material? Chat with us now 👇