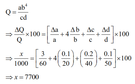
A physical quantity $Q$ is related to four observables $\mathrm{a}, \mathrm{b}, \mathrm{c}, \mathrm{d}$ as follows :
$\mathrm{Q}=\frac{\mathrm{ab}}{} \mathrm{a}^{4}$
where, $\mathrm{a}=(60 \pm 3) \mathrm{Pa} ; \mathrm{b}=(20 \pm 0.1) \mathrm{m} ; \mathrm{c}=(40 \pm 0.2) \mathrm{Nsm}^{-2}$ and $\mathrm{d}=(50 \pm 0.1) \mathrm{m}$, then the percentage error in Q is $\frac{x}{1000}$, where $x=$
Hello 👋 Welcome to Competishun – India’s most trusted platform for JEE & NEET preparation. Need help with JEE / NEET courses, fees, batches, test series or free study material? Chat with us now 👇