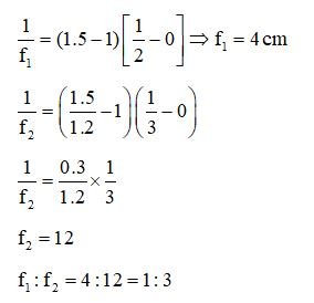
A plano-convex lens having radius of curvature of first surface 2 cm exhibits focal length of ${f_1}$ in air. Another plano-convex lens with first surface radius of curvature 3 cm has focal length of ${f_2}$ when it is immersed in a liquid of refractive index 1.2. If both the lenses are made of same glass of refractive index 1.5, the ratio of ${f_1}$ and ${f_2}$ will be
Hello 👋 Welcome to Competishun – India’s most trusted platform for JEE & NEET preparation. Need help with JEE / NEET courses, fees, batches, test series or free study material? Chat with us now 👇