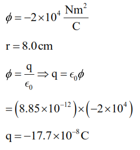
A point charge causes an electric flux of $-2 \times 10^{4} \mathrm{Nm}^{2} \mathrm{C}^{-1}$ to pass through a spherical Gaussian surface of 8.0 cm radius, centred on the charge. The value of the point charge is :
(Given $\epsilon_{0}=8.85 \times 10^{-12} \mathrm{C}^{2} \mathrm{~N}^{-1} \mathrm{~m}^{-2}$ )
Hello 👋 Welcome to Competishun – India’s most trusted platform for JEE & NEET preparation. Need help with JEE / NEET courses, fees, batches, test series or free study material? Chat with us now 👇