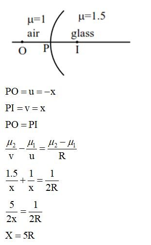
A spherical surface of radius of curvature R, separates air from glass (refractive index = 1.5). The centre of curvature is in the glass medium. A point object 'O' placed in air on the optic axis of the surface, so that its real image is formed at 'I' inside glass. The line OI intersects the spherical surface at P and PO = PI. The distance PO equals to
Hello 👋 Welcome to Competishun – India’s most trusted platform for JEE & NEET preparation. Need help with JEE / NEET courses, fees, batches, test series or free study material? Chat with us now 👇