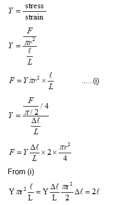
A wire of length L and radius r is clamped at one end. If its other end is pulled by a force F, its length increases by l. If the radius of the wire and the applied force both are reduced to half of their original values keeping original length constant, the increase in length will become.
Hello 👋 Welcome to Competishun – India’s most trusted platform for JEE & NEET preparation. Need help with JEE / NEET courses, fees, batches, test series or free study material? Chat with us now 👇