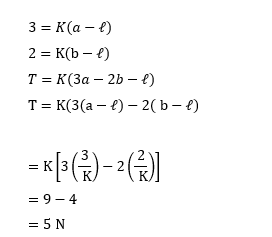
An elastic spring under tension of 3 N has a length a . Its length is b under tension 2 N . For its length $(3 a-2 b)$, the value of tension will be N .
Hello 👋 Welcome to Competishun – India’s most trusted platform for JEE & NEET preparation. Need help with JEE / NEET courses, fees, batches, test series or free study material? Chat with us now 👇