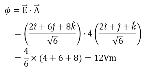
An electric field, $\overrightarrow{\mathrm{E}}=\frac{2 \hat{\mathrm{i}}+6 \hat{\mathrm{j}}+8 \hat{\mathrm{k}}}{\sqrt{6}}$ passes through the surface of $4 \mathrm{~m}^2$ area having unit vector $\hat{n}=\left(\frac{2 \hat{i}+\hat{j}+\hat{k}}{\sqrt{6}}\right)$ . The electric flux for that surface is _______ Vm.
Hello 👋 Welcome to Competishun – India’s most trusted platform for JEE & NEET preparation. Need help with JEE / NEET courses, fees, batches, test series or free study material? Chat with us now 👇