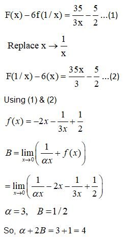
Let $f: \mathbb{R}-\{0\} \rightarrow \mathbb{R}$ be a function such that $f(x) - 6f\left( {\frac{1}{x}} \right) = \frac{{35}}{{3x}} - \frac{5}{2}$ .
If the $\mathop {\lim }\limits_{x \to 0} \left( {\frac{1}{{\alpha x}} + f(x)} \right) = \beta ;\alpha ,\beta \in $, then $\alpha + 2\beta $ is equal to
Hello 👋 Welcome to Competishun – India’s most trusted platform for JEE & NEET preparation. Need help with JEE / NEET courses, fees, batches, test series or free study material? Chat with us now 👇