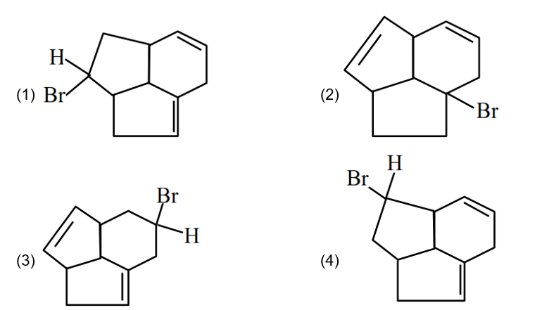
Consider the following molecule (X).
The structure of X is
The major product formed when the given molecule (X) is treated with $\mathrm{HBr}(1 \mathrm{eq})$ is :
Hello 👋 Welcome to Competishun – India’s most trusted platform for JEE & NEET preparation. Need help with JEE / NEET courses, fees, batches, test series or free study material? Chat with us now 👇