Skip to content
Competishun Header
Home
Courses
Test Series
Books
Free Resources
Result
Contact Us
Free Resources
Courses
Test Series
JEE Solutions
NCERT PDF
Books
Gallery
Result
Blogs
Watch JEE Free Lectures
↗
Download Our App
↗
Follow Us
Login / Register
Back
Report
Report Issue
×
Wrong Answer
Typo Error
Image Issue
Not Clear
Other
JEE MAIN 2025
24-01-2025
Question
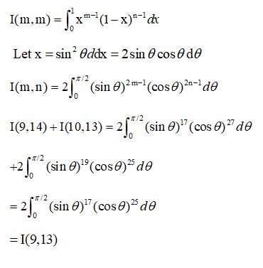
If $I(m,n) = \int_0^1 {{x^{m - 1}}} {(1 - x)^{n - 1}}dx,m,n > 0$, then $I(9,14) + I(10,13)$ is
Select the correct option:
A
I(1, 13)
B
I(9, 1)
C
I(19, 27)
D
I(9, 13)
✓ Correct! Well done.
✗ Incorrect. Try again or view the solution.
View Solution
Solution
Question Tags
JEE Main
Mathematics
Easy
Start Preparing for JEE with Competishun
YouTube
Books
App
Tests
Video Solution
BY competishun
Watch Solution
YouTube
Share this solution:
Share on WhatsApp
Filters
0
Subject
▾
Exam
▾
JEE Main
JEE Advance
Difficulty
▾
Easy
Medium
Hard
Year
▾
✕ Clear All
Showing
18
questions
Q
JEE ADVANCE 2006
2006
Match the following:
JEE Advance
Chemistry
Easy
View Solution
→
Q
JEE ADVANCE 2006
2006
According to Bohr's theory, $\mathrm{E}_{\mathrm{n}}=$ Total energy $\mathrm{K}_{\mathrm{n}}=$ Kinetic energy $\mathrm{V}_{\mathrm{n}}=$ Potential energy $\mathrm{r}_{\mathrm{n}}=$ Radius of $\mathrm{n}^{\text {th }}$ orbit...
JEE Advance
Chemistry
Easy
View Solution
→
Q
JEE ADVANCE 2006
2006
Match the following:
JEE Advance
Chemistry
Easy
View Solution
→
Q
JEE ADVANCE 2006
2006
Match the extraction processes listed in Column I with metals listed in Column II:
JEE Advance
Chemistry
Easy
View Solution
→
Q
JEE ADVANCE 2006
2006
The edge length of unit cell of a metal having molecular weight $75 \mathrm{~g} / \mathrm{mol}$ is $5 \AA$ which...
JEE Advance
Chemistry
Easy
View Solution
→
Q
JEE ADVANCE 2006
2006
We have taken a saturated solution of $\mathrm{AgBr} . \mathrm{K}_{\text {sp }}$ of AgBr is $12 \times 10^{-14}$. If $10^{-7}$...
JEE Advance
Chemistry
Easy
View Solution
→
Q
JEE ADVANCE 2006
2006
For the reaction, $2 \mathrm{CO}+\mathrm{O}_2 \longrightarrow 2 \mathrm{CO}_2 ; \Delta \mathrm{H}=-560 \mathrm{~kJ}$. Two moles of CO and one mole of...
JEE Advance
Chemistry
Easy
View Solution
→
Q
JEE ADVANCE 2006
2006
75.2 g of $\mathrm{C}_6 \mathrm{H}_5 \mathrm{OH}$ (phenol) is dissolved in a solvent of $\mathrm{K}_{\mathrm{f}}=14$. If the depression in freezing point...
JEE Advance
Chemistry
Easy
View Solution
→
Q
JEE ADVANCE 2006
2006
Ammonia is always is added in this reaction. Which of the following must be incorrect?
JEE Advance
Chemistry
Easy
View Solution
→
Q
JEE ADVANCE 2006
2006
When ammonia is added to the solution, pH is raised to 11 . Which half-cell reaction is affected by pH...
JEE Advance
Chemistry
Easy
View Solution
→
Q
JEE ADVANCE 2006
2006
Find $\ln K$ of this reaction.
JEE Advance
Chemistry
Easy
View Solution
→
Q
JEE ADVANCE 2006
2006
A nuclear explosion has taken place leading to increase in concentration of $C^{14}$ in nearby areas. $C^{14}$ concentration is $C_1$...
JEE Advance
Chemistry
Easy
View Solution
→
Q
JEE ADVANCE 2006
2006
What should be the age of fossil for meaningful determination of its age?
JEE Advance
Chemistry
Easy
View Solution
→
Q
JEE ADVANCE 2006
2006
Which of the following option is correct?
JEE Advance
Chemistry
Easy
View Solution
→
Q
JEE ADVANCE 2006
2006
The hybridization of A and B are
JEE Advance
Chemistry
Easy
View Solution
→
Q
JEE ADVANCE 2006
2006
Predict the magnetic nature of A and B .
JEE Advance
Chemistry
Easy
View Solution
→
Q
JEE ADVANCE 2006
2006
The IUPAC name of $A$ and $B$ are
JEE Advance
Chemistry
Easy
View Solution
→
Q
JEE ADVANCE 2006
2006
What are the constituent amines formed when the mixture of (i) and (ii) undergoes Hofmann bromamide degradation?
JEE Advance
Chemistry
Easy
View Solution
→
Load More Questions
Scan the code
Powered by
Joinchat
Hello 👋 Welcome to Competishun – India’s most trusted platform for JEE & NEET preparation.
Need help with JEE / NEET courses, fees, batches, test series or free study material? Chat with us now 👇
Open Chat