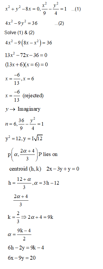
If A and B are the points of intersection of the circle $x^{2}+y^{2}-8 x=0$ and the hyperbola $\frac{x^{2}}{9}-\frac{y^{2}}{4}=1$ and a point $P$ moves on the line $2 x-3 y+4=0$, then the centroid of $\triangle P A B$ lies on the line :
Hello 👋 Welcome to Competishun – India’s most trusted platform for JEE & NEET preparation. Need help with JEE / NEET courses, fees, batches, test series or free study material? Chat with us now 👇