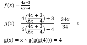
If $f(x)=\frac{4 x+3}{6 x-4}, x \neq \frac{2}{3}$ and (fof) $(x)=g(x)$, where $\mathrm{g}: \mathbb{R}-\left\{\frac{2}{3}\right\} \rightarrow \mathbb{R}-\left\{\frac{2}{3}\right\}$, then (gogog) (4) is equal to
Hello 👋 Welcome to Competishun – India’s most trusted platform for JEE & NEET preparation. Need help with JEE / NEET courses, fees, batches, test series or free study material? Chat with us now 👇