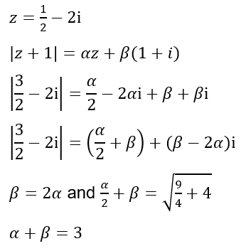
If $\mathrm{z}=\frac{1}{2}-2 \mathrm{i}$, is such that $|\mathrm{z}+1|=\alpha \mathrm{z}+\beta(1+\mathrm{i}), \mathrm{i}=\sqrt{-1}$ and $\alpha, \beta \in \mathrm{R}$, then $\alpha+\beta$ is equal to
Hello 👋 Welcome to Competishun – India’s most trusted platform for JEE & NEET preparation. Need help with JEE / NEET courses, fees, batches, test series or free study material? Chat with us now 👇