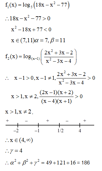
If the domain of the function $\log _{5}\left(18 x-x^{2}-77\right)$ is ( $\alpha, \beta$ ) and the domain of the function $\log _{(x-1)}\left(\frac{2 x^{2}+3 x-2}{x^{2}-3 x-4}\right)$ is $(\gamma, \delta)$, then $\alpha^{2}+\beta^{2}+\gamma^{2}$ is equal to :
Hello 👋 Welcome to Competishun – India’s most trusted platform for JEE & NEET preparation. Need help with JEE / NEET courses, fees, batches, test series or free study material? Chat with us now 👇