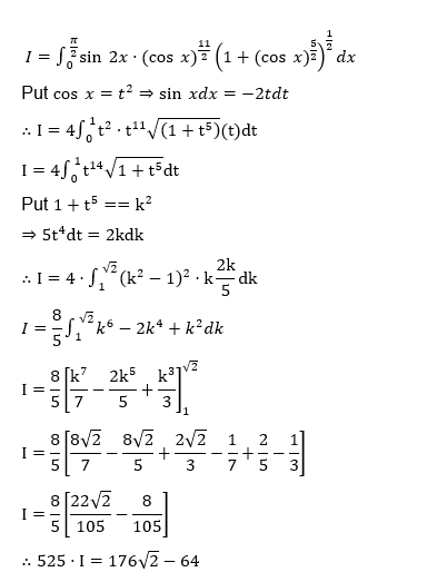
If the integral $525 \int_0^{\frac{\pi}{2}} \sin 2 x \cos ^{\frac{11}{2}} x\left(1+\cos ^{\frac{5}{2}} x\right)^{\frac{1}{2}} d x$ is equal to $(n \sqrt{2}-64)$, then $n$ is equal to
Hello 👋 Welcome to Competishun – India’s most trusted platform for JEE & NEET preparation. Need help with JEE / NEET courses, fees, batches, test series or free study material? Chat with us now 👇