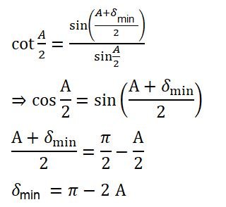
If the refractive index of the material of a prism is $\cot \left(\frac{A}{2}\right)$, where A is the angle of prism then the angle of minimum deviation will be
Hello 👋 Welcome to Competishun – India’s most trusted platform for JEE & NEET preparation. Need help with JEE / NEET courses, fees, batches, test series or free study material? Chat with us now 👇