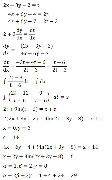
If the solution of the differential equation $(2 x+3 y-2) d x+(4 x+6 y-7) d y=0, y(0)=3$, is $\alpha x+\beta y+3 \log _e|2 x+3 y-\gamma|=6$, then $\alpha+2 \beta+3 \gamma$ is equal to
Hello 👋 Welcome to Competishun – India’s most trusted platform for JEE & NEET preparation. Need help with JEE / NEET courses, fees, batches, test series or free study material? Chat with us now 👇