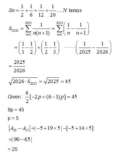
Let ${S_n} = \frac{1}{2} + \frac{1}{6} + \frac{1}{{12}} + \frac{1}{{20}} + \ldots $ upto $n$ terms. If the sum of the first six terms of an A.P. with first term -p and common difference p is $\sqrt {2026\;{{\rm{S}}_{2025}}} $, then the absolute difference betwen ${20^{{\rm{th }}}}$ and ${15^{{\rm{th }}}}$ terms of the A.P. is
Hello 👋 Welcome to Competishun – India’s most trusted platform for JEE & NEET preparation. Need help with JEE / NEET courses, fees, batches, test series or free study material? Chat with us now 👇