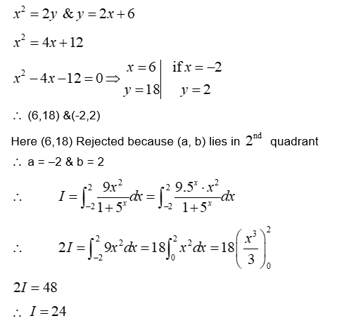
Let $(a, b)$ be the point of intersection of the curve $x^2=2 y$ and the straight line $y-2 x-6=0$ in the second quadrant. Then the integral $I=\int_a^b \frac{9 x^2}{1+5^x} d x$ is equal to:
Hello 👋 Welcome to Competishun – India’s most trusted platform for JEE & NEET preparation. Need help with JEE / NEET courses, fees, batches, test series or free study material? Chat with us now 👇