Let $f: \mathbb{R} \rightarrow \mathbb{R}$ be a function defined by
$$
\begin{aligned}
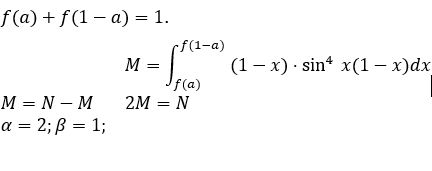
& f(x)=\frac{4^x}{4^x+2} \text { and } \\
& M=\int_{f(a)}^{f(1-a)} x \sin ^4(x(1-x)) d x \\
& N=\int_{f(a)}^{f(1-a)} \sin ^4(x(1-x)) d x ; a \neq \frac{1}{2} . \text { If }
\end{aligned}
$$
$\alpha M=\beta N, \alpha, \beta \in \mathbb{N}$, then the least value of $\alpha^2+\beta^2$ is equal to
Hello 👋 Welcome to Competishun – India’s most trusted platform for JEE & NEET preparation. Need help with JEE / NEET courses, fees, batches, test series or free study material? Chat with us now 👇