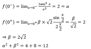
Let $f: \mathrm{R} \rightarrow \mathrm{R}$ be a function given by
$$
f(x)=\left\{\begin{array}{cl}
\frac{1-\cos 2 x}{x^2} & , x<0 \\ \alpha & , x=0, \text { where } \alpha, \beta \in R . \text { If } \\ \frac{\beta \sqrt{1-\cos x}}{x} & , x>0
\end{array}\right.
$$
$f$ is continuous at $\mathrm{x}=0$, then $\alpha^2+\beta^2$ is equal to :
Hello 👋 Welcome to Competishun – India’s most trusted platform for JEE & NEET preparation. Need help with JEE / NEET courses, fees, batches, test series or free study material? Chat with us now 👇