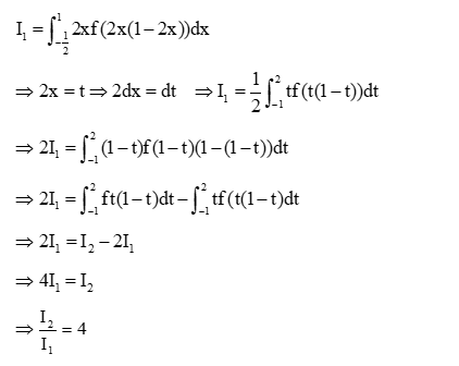
Let f(x) be a positive function and $I_1=\int_{-\frac{1}{2}}^1 2 x f(2 x(1-2 x)) d x$ and $I_2=\int_{-1}^2 f(x(1-x)) d x$. Then the value of $\frac{I_2}{I_1}$ is equal to $\_\_\_\_$ .
Hello 👋 Welcome to Competishun – India’s most trusted platform for JEE & NEET preparation. Need help with JEE / NEET courses, fees, batches, test series or free study material? Chat with us now 👇