Report Issue

JEE MAIN 2024
08-04-24 S1
Question
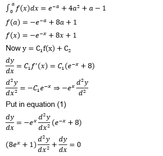
Let $f(x)$ be a positive function such that the area bounded by $y=f(x), y=0$ from $x=0$ to $x=a>0$ is $\mathrm{e}^{-\mathrm{a}}+4 \mathrm{a}^2+\mathrm{a}-1$. Then the differential equation, whose general solution is $y=c_1 f(x)+c_2$, where $c_1$ and $c_2$ are arbitrary constants, is:
Select the correct option:
A
$\left(8 e^x-1\right) \frac{d^2 y}{d x^2}+\frac{d y}{d x}=0$
B
$\left(8 e^x+1\right) \frac{d^2 y}{d x^2}-\frac{d y}{d x}=0$
C
$\left(8 e^x+1\right) \frac{d^2 y}{d x^2}+\frac{d y}{d x}=0$
D
$\left(8 e^x-1\right) \frac{d^2 y}{d x^2}-\frac{d y}{d x}=0$
✓ Correct! Well done.
✗ Incorrect. Try again or view the solution.
Solution
Solution Image
Question Tags
JEE Main
Mathematics
Medium
Start Preparing for JEE with Competishun