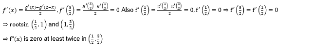
Let $g: R \rightarrow R$ be a non constant twice differentiable such that $g^{\prime}\left(\frac{1}{2}\right)=g^{\prime}\left(\frac{3}{2}\right)$. If a real valued function $f$ is defined as $f(x)=\frac{1}{2}[g(x)+g(2-x)]$, then
Hello 👋 Welcome to Competishun – India’s most trusted platform for JEE & NEET preparation. Need help with JEE / NEET courses, fees, batches, test series or free study material? Chat with us now 👇