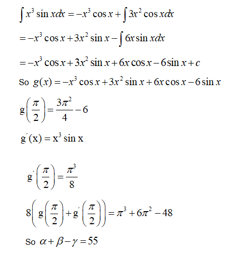
Let $\int \mathrm{x}^{3} \sin x \mathrm{~d} x=\mathrm{g}(x)+\mathrm{C}$, where C is the constant of integration. If
$8\left(\mathrm{~g}\left(\frac{\pi}{2}\right)+\mathrm{g}^{\prime}\left(\frac{\pi}{2}\right)\right)=\alpha \pi^{3}+\beta \pi^{2}+\gamma, \alpha, \beta, \gamma \in Z$, then $\alpha+\beta-\gamma$ equals :
Hello 👋 Welcome to Competishun – India’s most trusted platform for JEE & NEET preparation. Need help with JEE / NEET courses, fees, batches, test series or free study material? Chat with us now 👇