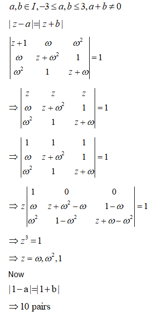
Let integers $a, b \in[-3,3]$ be such that $a+b \neq 0$. Then the number of all possible ordered pairs (a, b), for which $\left|\frac{z-\mathrm{a}}{z+\mathrm{b}}\right|=1$ and $\left|\begin{array}{ccc}z+1 & \omega & \omega^{2} \omega & z+\omega^{2} & 1 \omega^{2} & 1 & z+\omega\end{array}\right|=1, z \in \mathrm{C}$, where $\omega$ and $\omega^{2}$ are the roots of $x^{2}+x+1=0$, is equal to $\_\_\_\_$。
Hello 👋 Welcome to Competishun – India’s most trusted platform for JEE & NEET preparation. Need help with JEE / NEET courses, fees, batches, test series or free study material? Chat with us now 👇