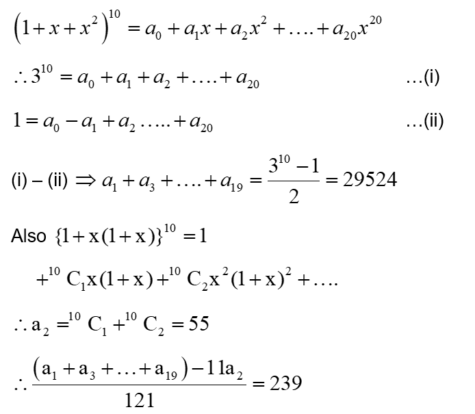
Let $\left(1+x+x^2\right)^{10}=a_0+a_1 x+a_2 x^2+\ldots+a_{20} x^{20}$. If $\left(a_1+a_3+a_5+\ldots+a_{19}\right)-11 a_2=121 k$, then $k$ is equal to $\_\_\_\_$
Hello 👋 Welcome to Competishun – India’s most trusted platform for JEE & NEET preparation. Need help with JEE / NEET courses, fees, batches, test series or free study material? Chat with us now 👇