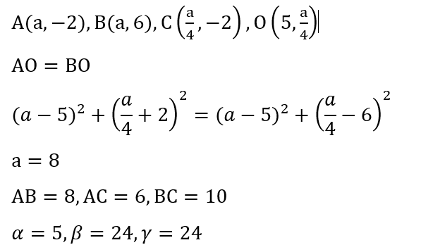
Let $\left(5, \frac{a}{4}\right)$, be the circumcenter of a triangle with vertices $A(a,-2), B(a, 6)$ and $C\left(\frac{a}{4},-2\right)$. Let $\alpha$ denote the circumradius, $\beta$ denote the area and $\gamma$ denote the perimeter of the triangle. Then $\alpha+\beta+\gamma$ is
Hello 👋 Welcome to Competishun – India’s most trusted platform for JEE & NEET preparation. Need help with JEE / NEET courses, fees, batches, test series or free study material? Chat with us now 👇