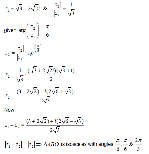
Let O be the origin, the point A be ${z_1} = \sqrt 3 + 2\sqrt 2 i$, the point $B\left( {{z_2}} \right)$ be such that $\sqrt 3 \left| {{z_2}} \right| = \left| {{z_1}} \right|$ and $\arg \left( {{z_2}} \right) = \arg \left( {{z_1}} \right) + \frac{\pi }{6}$. Then
Hello 👋 Welcome to Competishun – India’s most trusted platform for JEE & NEET preparation. Need help with JEE / NEET courses, fees, batches, test series or free study material? Chat with us now 👇