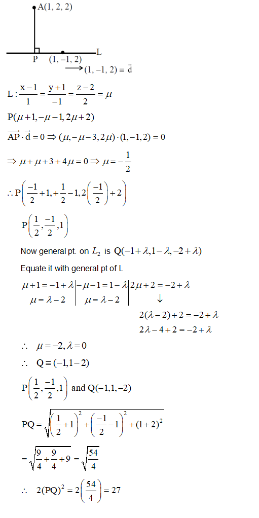
Let P be the foot of the perpendicular from the point $(1,2,2)$ on the line $\mathrm{L}: \frac{x-1}{1}=\frac{y+1}{-1}=\frac{z-2}{2}$. Let the line $\overrightarrow{\mathrm{r}}=(-\hat{i}+\hat{j}-2 \hat{k})+\lambda(\hat{i}-\hat{j}+\hat{k}), \lambda \in \mathbf{R}$, intersect the line L at Q . Then $2(\mathrm{PQ})^{2}$ is equal to:
Hello 👋 Welcome to Competishun – India’s most trusted platform for JEE & NEET preparation. Need help with JEE / NEET courses, fees, batches, test series or free study material? Chat with us now 👇