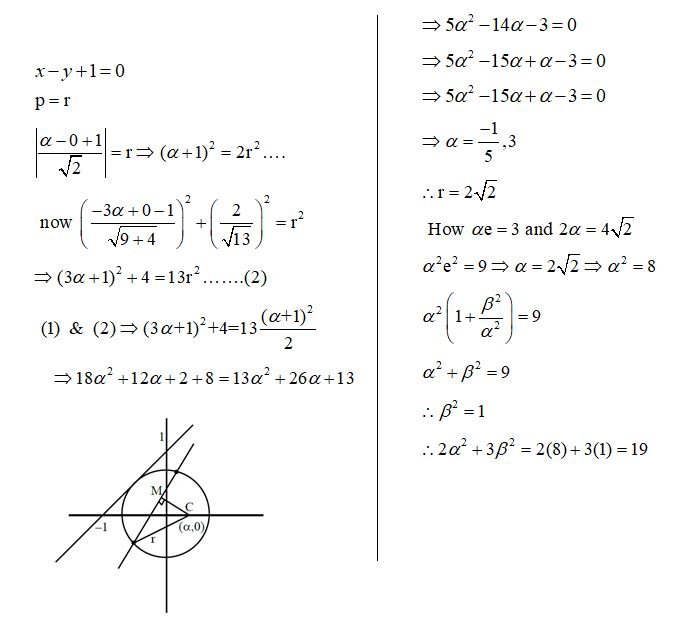
Let the circle C touch the line $x - y + 1 = 0$ , have the centre on the positive x -axis, and cut off a chord of length $\frac{4}{{\sqrt {13} }}$ along the line $ - 3x + 2y = 1$. Let H be the hyperbola $\frac{{{x^2}}}{{{\alpha ^2}}} - \frac{{{y^2}}}{{{\beta ^2}}} = 1$, whose one of the foci is the centre of C and the length of the transverse axis is the diameter of C . Then $2{\alpha ^2} + 3{\beta ^2}$ is equal to ............
Hello 👋 Welcome to Competishun – India’s most trusted platform for JEE & NEET preparation. Need help with JEE / NEET courses, fees, batches, test series or free study material? Chat with us now 👇