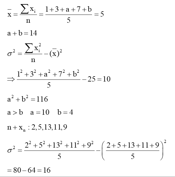
Let the Mean and Variance of five observations $x_1=1, x_2=3, x_3=a, x_4=7$ and $x_5=b, a>b$, be 5 and 10 respectively. Then the Variance of the observations $n+x_n, n=1,2, \ldots, 5$ is
Hello 👋 Welcome to Competishun – India’s most trusted platform for JEE & NEET preparation. Need help with JEE / NEET courses, fees, batches, test series or free study material? Chat with us now 👇