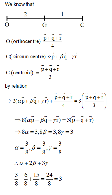
Let the position vectors of three vertices of a triangle be $4 \vec{p}+\vec{q}-3 \vec{r},-5 \vec{p}+\vec{q}+2 \vec{r}$ and $2 \vec{p}-\vec{q}+2 \vec{r}$. If the position vectors of the orthocenter and the circumcenter of the triangle are $\frac{\vec{p}+\vec{q}+\vec{r}}{4}$ and $a \vec{p}+\beta \vec{q}+\gamma \vec{r}$ respectively, then $\alpha+2 \beta+5 \gamma$ is equal to :
Hello 👋 Welcome to Competishun – India’s most trusted platform for JEE & NEET preparation. Need help with JEE / NEET courses, fees, batches, test series or free study material? Chat with us now 👇