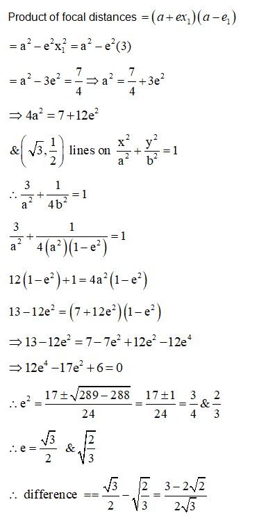
Let the product of the focal distances of the point $\left( {\sqrt 3 ,\frac{1}{2}} \right)$ on the ellipse $\frac{{{x^2}}}{{{a^2}}} + \frac{{{y^2}}}{{{b^2}}} = 1,(a > b)$, be $\frac{7}{4}$. Then the absolute difference of the eccentricities of two such ellipses is
Hello 👋 Welcome to Competishun – India’s most trusted platform for JEE & NEET preparation. Need help with JEE / NEET courses, fees, batches, test series or free study material? Chat with us now 👇