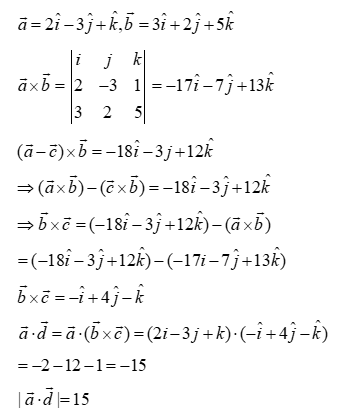
Let $\vec{a}=2 \hat{i}-3 \hat{j}+\hat{k}, \vec{b}=3 \hat{i}+2 \hat{j}+5 \hat{k}$ and a vector $\vec{c}$ be such that $(\vec{a}-\vec{c}) \times \vec{b}=-18 \hat{i}-3 \hat{j}+12 \hat{k}$ and $\vec{a} \cdot \vec{c}=3$. If $\vec{b} \times \vec{c}=\vec{d}$, then $|\vec{a} \cdot \vec{d}|$ is equal to:
Hello 👋 Welcome to Competishun – India’s most trusted platform for JEE & NEET preparation. Need help with JEE / NEET courses, fees, batches, test series or free study material? Chat with us now 👇