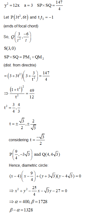
Let $y^{2}=12 x$ be the parabola and $S$ be its focus. Let PQ be a focal chord of the parabola such that $(S P)(S Q)=\frac{147}{4}$. Let $C$ be the circle described taking PQ as a diameter. If the equation of a circle $C$ is $64 x^{2}+64 y^{2}-\alpha x-64 \sqrt{3} y=\beta$, then $\beta-\alpha$ is equal to $\_\_\_\_$ .
Hello 👋 Welcome to Competishun – India’s most trusted platform for JEE & NEET preparation. Need help with JEE / NEET courses, fees, batches, test series or free study material? Chat with us now 👇