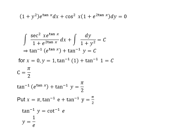
Let $y=y(x)$ be the solution of the differential equation $\left(1+y^2\right) e^{\tan x} d x+\cos ^2 x\left(1+e^{2 \tan x}\right) d y=0$, $y(0)=1$. Then $y\left(\frac{\pi}{4}\right)$ is equal to :
Hello 👋 Welcome to Competishun – India’s most trusted platform for JEE & NEET preparation. Need help with JEE / NEET courses, fees, batches, test series or free study material? Chat with us now 👇