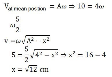
A particle executes simple harmonic motion with an amplitude of 4 cm . At the mean position, velocity of the particle is $10 \mathrm{~cm} / \mathrm{s}$. The distance of the particle from the mean position when its speed becomes $5 \mathrm{~cm} / \mathrm{s}$ is $\sqrt{\alpha} \mathrm{cm}$, where $\alpha=$
Hello 👋 Welcome to Competishun – India’s most trusted platform for JEE & NEET preparation. Need help with JEE / NEET courses, fees, batches, test series or free study material? Chat with us now 👇