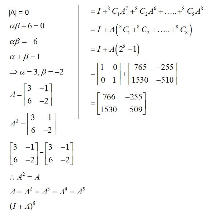
Let $A = \left[ {\begin{array}{*{20}{c}}
\alpha &{ - 1}\\
6&\beta
\end{array}} \right],\alpha > 0$, such that $\det (A) = 0$ and $\alpha + \beta = 1$. If I denotes $2 \times 2$ identity matrix, then the matrix ${(I + A)^8}$ is :
Hello 👋 Welcome to Competishun – India’s most trusted platform for JEE & NEET preparation. Need help with JEE / NEET courses, fees, batches, test series or free study material? Chat with us now 👇