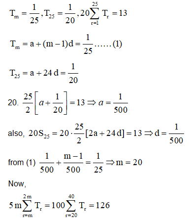
Let ${{\rm{T}}_{\rm{r}}}$ be the ${{\rm{r}}^{{\rm{th }}}}$ term of an A.P. If for some ${\rm{m}},{{\rm{T}}_{\rm{m}}} = \frac{1}{{25}},\;{{\rm{T}}_{25}} = \frac{1}{{20}}$ , and $20\sum\limits_{{\rm{r}} = 1}^{25} {\;{{\rm{T}}_{\rm{r}}}} = 13$, then $5\;{\rm{m}}\sum\limits_{{\rm{r}} = {\rm{m}}}^{2\;{\rm{m}}} {\;{{\rm{T}}_{\rm{r}}}} $ is equal to
Hello 👋 Welcome to Competishun – India’s most trusted platform for JEE & NEET preparation. Need help with JEE / NEET courses, fees, batches, test series or free study material? Chat with us now 👇