Report Issue

JEE MAIN 2024
05-04-2024 S1
Question
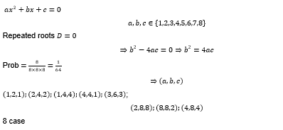
The coefficients $a, b, c$ in the quadratic equation $a x^2+b x+c=0$ are chosen from the set $\{1,2,3,4,5,6,7,8\}$. The probability of this equation having repeated roots is:
Select the correct option:
A
3/256
B
1/128
C
1/64
D
3/128
✓ Correct! Well done.
✗ Incorrect. Try again or view the solution.
Solution
Solution Image
Question Tags
JEE Main
Mathematics
Medium
Start Preparing for JEE with Competishun