Competishun Header

Report Issue

JEE MAIN 2025
22-01-2025
Question
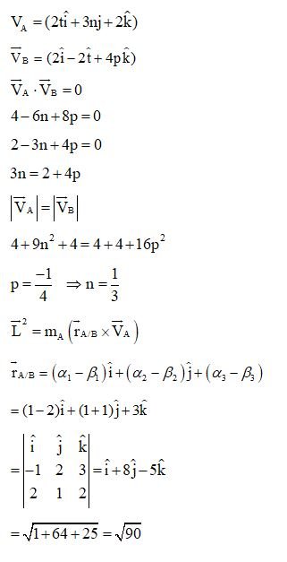
The position vectors of two 1 kg particles, (A) and (B), are given by $\overrightarrow{\mathbf{r}}_{\mathrm{A}}=\left(\alpha_1 \mathrm{t}^2 \hat{i}+\alpha_2 \hat{j}+\alpha_3 \hat{t}\right) \mathrm{m}$ and $\overrightarrow{\mathrm{r}}_{\mathrm{B}}=\left(\beta_1 \mathrm{t} \hat{i}+\beta_2 \mathrm{t}^2 \hat{j}+\beta_3 t \hat{k}\right) \mathrm{m}$, respectively; $\left(\alpha_1=1 \mathrm{~m} / \mathrm{s}^2, \alpha_2=3 \mathrm{~nm} / \mathrm{s}, \alpha_3=2 \mathrm{~m} / \mathrm{s}, \beta_1=2 \mathrm{~m} / \mathrm{s}, \beta_2=-1 \mathrm{~m} / \mathrm{s}^2, \beta_3=4 \mathrm{pm} / \mathrm{s}\right)$, where t is time, n and p are constants. At $t=1 \mathrm{~s},\left|\vec{V}_A\right|=\left|\vec{V}_B\right|$ and velocities $\vec{V}_A$ and $\vec{V}_B$ of the particles are orthogonal to each other. At $t=1 \mathrm{~s}$, the magnitude of angular momentum of particle (A) with respect to the position of particle (B) is $\sqrt{\mathrm{L}} \mathrm{kgm}^2 \mathrm{~s}^{-1}$. The value of L is $\_\_\_\_$ .
✓ Correct! Well done.
✗ Incorrect. Try again or view the solution.
Solution
Answer 90
Solution Image
Question Tags
JEE Main
Physics
Hard
Start Preparing for JEE with Competishun
Filters 0
JEE Main
JEE Advance
Easy
Medium
Hard
Showing 18 questions
QJEE ADVANCE 20062006
Match the following:
JEE AdvanceChemistryEasy
View Solution
QJEE ADVANCE 20062006
According to Bohr's theory, $\mathrm{E}_{\mathrm{n}}=$ Total energy $\mathrm{K}_{\mathrm{n}}=$ Kinetic energy $\mathrm{V}_{\mathrm{n}}=$ Potential energy $\mathrm{r}_{\mathrm{n}}=$ Radius of $\mathrm{n}^{\text {th }}$ orbit...
JEE AdvanceChemistryEasy
View Solution
QJEE ADVANCE 20062006
Match the following:
JEE AdvanceChemistryEasy
View Solution
QJEE ADVANCE 20062006
Match the extraction processes listed in Column I with metals listed in Column II:
JEE AdvanceChemistryEasy
View Solution
QJEE ADVANCE 20062006
The edge length of unit cell of a metal having molecular weight $75 \mathrm{~g} / \mathrm{mol}$ is $5 \AA$ which...
JEE AdvanceChemistryEasy
View Solution
QJEE ADVANCE 20062006
We have taken a saturated solution of $\mathrm{AgBr} . \mathrm{K}_{\text {sp }}$ of AgBr is $12 \times 10^{-14}$. If $10^{-7}$...
JEE AdvanceChemistryEasy
View Solution
QJEE ADVANCE 2006 2006
For the reaction, $2 \mathrm{CO}+\mathrm{O}_2 \longrightarrow 2 \mathrm{CO}_2 ; \Delta \mathrm{H}=-560 \mathrm{~kJ}$. Two moles of CO and one mole of...
JEE AdvanceChemistryEasy
View Solution
QJEE ADVANCE 20062006
75.2 g of $\mathrm{C}_6 \mathrm{H}_5 \mathrm{OH}$ (phenol) is dissolved in a solvent of $\mathrm{K}_{\mathrm{f}}=14$. If the depression in freezing point...
JEE AdvanceChemistryEasy
View Solution
QJEE ADVANCE 20062006
Ammonia is always is added in this reaction. Which of the following must be incorrect?
JEE AdvanceChemistryEasy
View Solution
QJEE ADVANCE 20062006
When ammonia is added to the solution, pH is raised to 11 . Which half-cell reaction is affected by pH...
JEE AdvanceChemistryEasy
View Solution
QJEE ADVANCE 20062006
Find $\ln K$ of this reaction.
JEE AdvanceChemistryEasy
View Solution
QJEE ADVANCE 20062006
A nuclear explosion has taken place leading to increase in concentration of $C^{14}$ in nearby areas. $C^{14}$ concentration is $C_1$...
JEE AdvanceChemistryEasy
View Solution
QJEE ADVANCE 20062006
What should be the age of fossil for meaningful determination of its age?
JEE AdvanceChemistryEasy
View Solution
QJEE ADVANCE 20062006
Which of the following option is correct?
JEE AdvanceChemistryEasy
View Solution
QJEE ADVANCE 20062006
The hybridization of A and B are
JEE AdvanceChemistryEasy
View Solution
QJEE ADVANCE 20062006
Predict the magnetic nature of A and B .
JEE AdvanceChemistryEasy
View Solution
QJEE ADVANCE 20062006
The IUPAC name of $A$ and $B$ are
JEE AdvanceChemistryEasy
View Solution
QJEE ADVANCE 20062006
What are the constituent amines formed when the mixture of (i) and (ii) undergoes Hofmann bromamide degradation?
JEE AdvanceChemistryEasy
View Solution