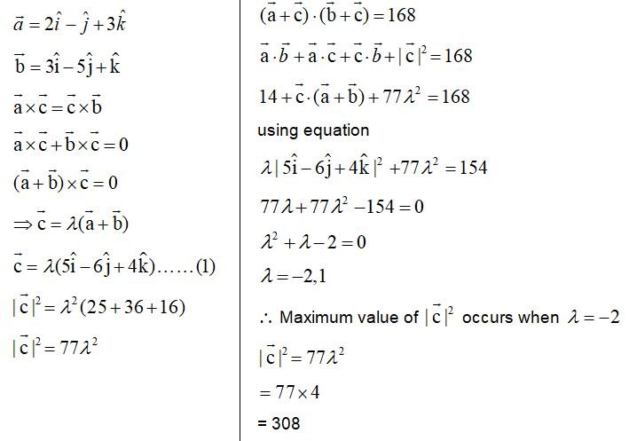
Let $\overrightarrow {\rm{a}} = 2\hat i - \hat j + 3\hat k,\overrightarrow {\;{\rm{b}}} = 3\hat i - 5\hat j + \hat k$ and $\overrightarrow {\rm{c}} $ be a vector such that $\overrightarrow {\rm{a}} \times \overrightarrow {\rm{c}} = \overrightarrow {\rm{c}} \times \overrightarrow {\rm{b}} $ and $(\vec a + \vec c) \cdot (\vec b + \vec c) = 168$. Then the maximum value of $|\vec c{|^2}$ is :
Hello 👋 Welcome to Competishun – India’s most trusted platform for JEE & NEET preparation. Need help with JEE / NEET courses, fees, batches, test series or free study material? Chat with us now 👇