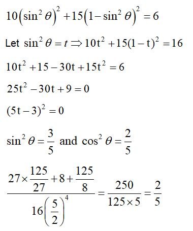
If $10{\sin ^4}\theta + 15{\cos ^4}\theta = 6$, then the value of $\frac{{27{{{\mathop{\rm cosec}\nolimits} }^6}\theta + 8{{\sec }^6}\theta }}{{16{{\sec }^8}\theta }}$ is
Hello 👋 Welcome to Competishun – India’s most trusted platform for JEE & NEET preparation. Need help with JEE / NEET courses, fees, batches, test series or free study material? Chat with us now 👇