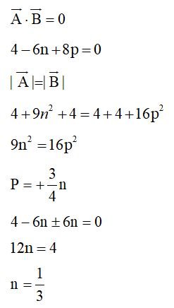
Two particles are located at equal distance from origin. The position vectors of those are represented by $\overrightarrow{\text{A}}=2\widehat{\text{i}}+3n\widehat{\text{j}}+2\widehat{\text{k}}$ and $\overrightarrow{\text{B}}=2\widehat{\text{i}}-2\widehat{\text{j}}+4\text{p}\widehat{\text{k}}$, respectively. If both the vectors are at right angle to each other, the value of is ..........
Hello 👋 Welcome to Competishun – India’s most trusted platform for JEE & NEET preparation. Need help with JEE / NEET courses, fees, batches, test series or free study material? Chat with us now 👇