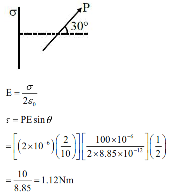
Two small spherical balls of mass 10 g each with charges $ - 2\mu {\rm{C}}$ and $2\mu {\rm{C}}$ , are attached to two ends of very light rigid rod of length 20 cm. The arrangement is now placed near an infinite nonconducting charge sheet with uniform charge density of $100\mu {\rm{C}}/{{\rm{m}}^2}$ such that length of rod makes an angle of ${30^\circ }$ with electric field generated by charge sheet. Net torque acting on the rod is: (Take ${\varepsilon _{\rm{o}}}:8.85 \times {10^{ - 12}}{{\rm{C}}^2}{\rm{N}}{{\rm{m}}^2}$)
Hello 👋 Welcome to Competishun – India’s most trusted platform for JEE & NEET preparation. Need help with JEE / NEET courses, fees, batches, test series or free study material? Chat with us now 👇