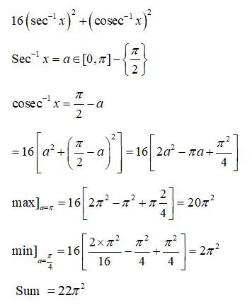
Using the principal values of the inverse trigonometric functions, the sum of the maximum and the minimum values of $16\left(\left(\sec ^{-1} x\right)^2+\left(\operatorname{cosec}^{-1} x\right)^2\right)$ is :
Hello 👋 Welcome to Competishun – India’s most trusted platform for JEE & NEET preparation. Need help with JEE / NEET courses, fees, batches, test series or free study material? Chat with us now 👇