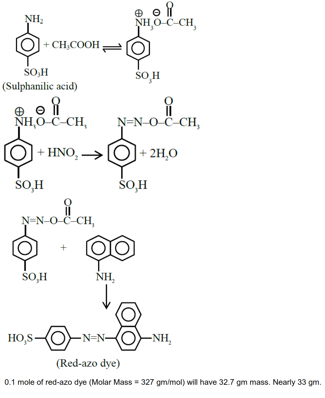
When a concentrated solution of sulphanilic acid and 1-naphthylamine is treated with nitrous acid ( 273 K ) and acidified with acetic acid, the mass $(\mathrm{g})$ of 0.1 mole of product formed is :
(Given molar mass in $\mathrm{gmol}^{-1} H: 1, C: 12, N: 14, O: 16, S: 32$ )
Hello 👋 Welcome to Competishun – India’s most trusted platform for JEE & NEET preparation. Need help with JEE / NEET courses, fees, batches, test series or free study material? Chat with us now 👇